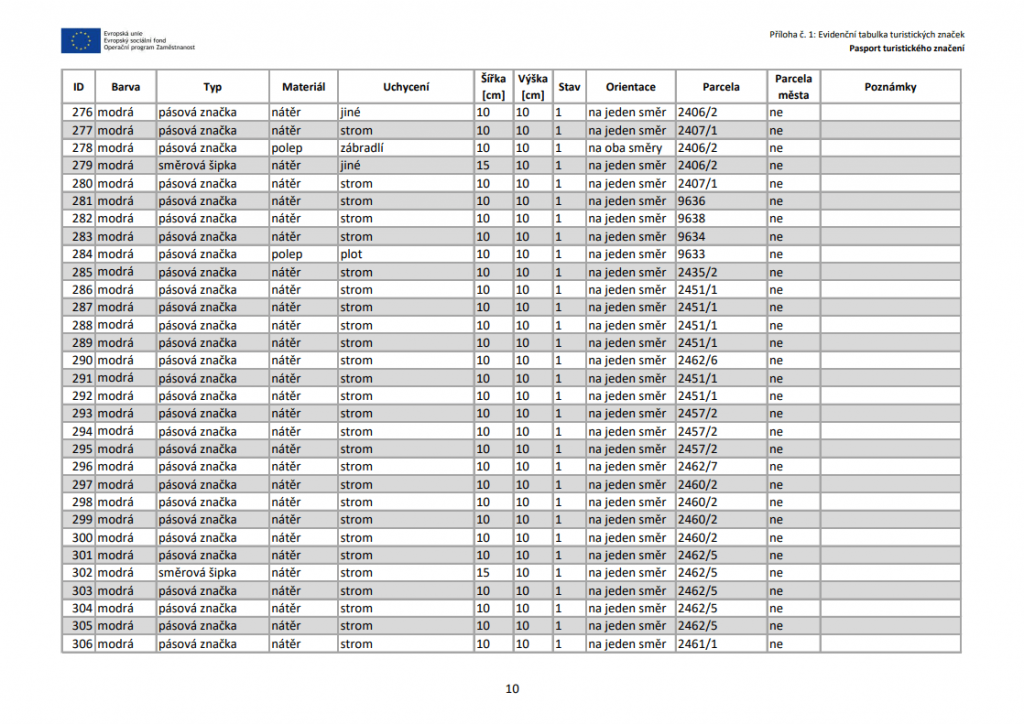
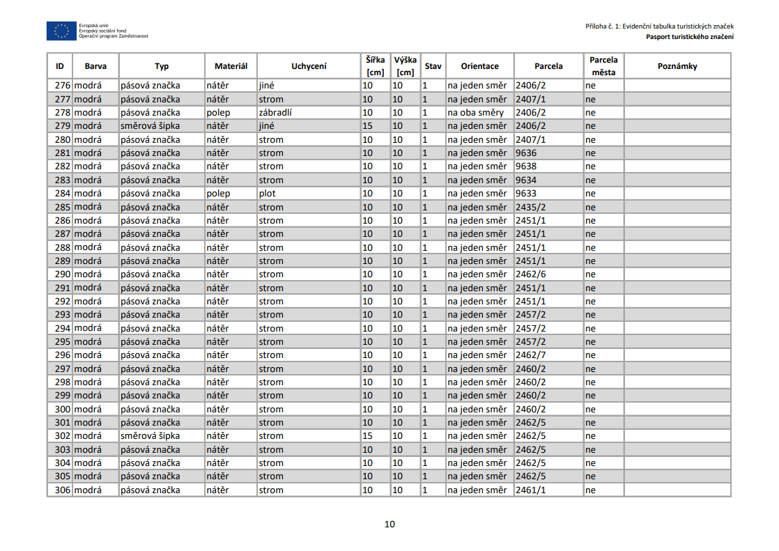
Pasport turistického značení je evidence turistických značek a dalších prvků souvisejících s turismem (rozhledny, odpočívky, mapy, rozcestníky atd.). Pasport je účinný nástroj k vytvoření přehledu stávajícího stavu a usnadnění údržby a plánování rozvoje značení a turistického ruchu.
Součástí pasportu může být také vizualizace cyklotras. Samotná evidence dopravního (cyklistického) značení však spadá pod Pasport dopravního značení.
Součástí předání pasportu turistického značení může být i mapová aplikace WEGAS. V aplikaci je možné:






